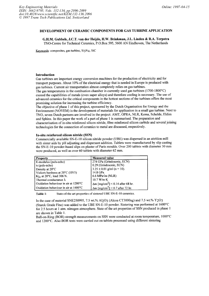
Development of Ceramic Components for Gas Turbine Application

Article Preview

Abstract:

You might also be interested in these eBooks

Info:

Periodical:

Key Engineering Materials (Volumes 132-136)

Pages:

2096-2099

Citation:

Online since:

April 1997

Export:

Price:

Permissions CCC:

Permissions PLS:

Сopyright:

© 1997 Trans Tech Publications Ltd. All Rights Reserved

Share:

Citation: