A Connecting Method for Offset Contour of Planar Polygon

Article Preview

Abstract:

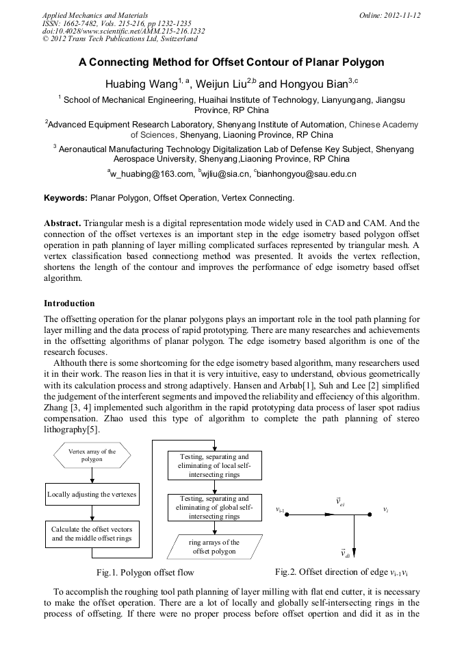
Triangular mesh is a digital representation mode widely used in CAD and CAM. And the connection of the offset vertexes is an important step in the edge isometry based polygon offset operation in path planning of layer milling complicated surfaces represented by triangular mesh. A vertex classification based connectiong method was presented. It avoids the vertex reflection, shortens the length of the contour and improves the performance of edge isometry based offset algorithm.

You might also be interested in these eBooks

Info:

Periodical:

Pages:

1232-1235

Citation:

Online since:

November 2012

Export:

Price:

Permissions CCC:

Permissions PLS:

Сopyright:

© 2012 Trans Tech Publications Ltd. All Rights Reserved

Share:

Citation:

[1] A. Hansen, F. Arbab: ACM Transactions on Graphics Vol. 12 (1992), p.152 .

Google Scholar

[2] Y. S. Suh, K. Lee: Computer-Aided Design Vol. 22 (5)1990,p.273.

Google Scholar

[3] Z. Jiayi, Doctoral Dissertation of Shenyang Institute of Automation, Chinese Academy of Sciences (2005), in Chinese.

Google Scholar

[4] Z. Jiayi, H. Yongping and L. Weijun: Journal of Engineering Graphics Vol. 27 (2006),p.16, in Chinese.

Google Scholar

[5] Z. Jibin, Doctoral Dissertation of Shenyang Institute of Automation, Chinese Academy of Sciences (2004), in Chinese.

Google Scholar

[6] W. Huabing, L. Weijun and B. Hongyou: Advanced Material Research Vol.478(2012), pp.1867-1872.

Google Scholar